Sistema numérico decima base10
Un sistema numérico está compuesto de símbolos y de normas para usarlos, a pesar de que existen varios tipos, el más conocido es el sistema numérico decimal o de base10. Se denomina así porque está formado por 10 números que, combinados entre sí, representan todos los números posibles.
Los números; 0,1,2,3,4,5,6,7,8,9 forman el sistema de Base10.
Un sistema numérico decimal se basa en potencias de 10. Cada dígito representa el numero 10 (base) elevado a la potencia (exponente) que viene dado por la posición de la cifra leída de derecha a izquierda.
Ejemplo: 
Tabla
Valor posicional: 
Base exponente: 
Cantidad símbolos: 10
Simbolos: 0,1,2,3,4,5,6,7,8 y 9
Explicación: Los dedos de la mano.
Sistema numérico decimal base 2
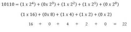
Los computadores reconocen y procesan datos utilizando el sistema numérico binario (base2). Este sistema utiliza solo 0 y 1. La posición de cada digito representa al numero 2 (base) elevado a una potencia (exponente) según conste su posición leído de derecha a izquierda. Y descompuesto en potencias de izquierda a derecha.
Ejemplo: 
Una vez descompuesto el numero binario en potencias de base2 y resuelto las operaciones, el resultado será un numero decimal.
Tabla
Valor posicional: 
Base Exponente:
Cantidad de símbolos: 2 (0 y 1).
Explicación: Los sistemas basados en dos niveles de voltaje (binario discreto) diseñados para transistores, son enormemente diversificados, poderosos, económicos, e inmunes al ruído.
Un comentario en “Sistema Numerico Decimal”